Ruby Graph Library (RGL)
RGL is a framework for graph data structures and algorithms.
The design of the library is much influenced by the Boost Graph Library (BGL) which is written in C++. Refer to https://www.boost.org/libs/graph/doc for further links and documentation on graph data structures and algorithms and the design rationales of BGL.
A comprehensive summary of graph terminology can be found in the graph section of the Dictionary of Algorithms and Data Structures at https://www.nist.gov/dads/HTML/graph.html or Wikipedia.
- GitHub Repository
- API Reference generated from master branch
- API Reference at https://rubydoc.info for the latest release
Design principles
This document concentrates on the special issues of the implementation in Ruby. The main design goals directly taken from the BGL design are:
An interface for how the structure of a graph can be accessed using a generic interface that hides the details of the graph data structure implementation. This interface is defined by the module RGL::Graph, which should be included in concrete classes.
A standardized generic interface for traversing graphs RGL::GraphIterator
RGL provides some general purpose graph classes that conform to this interface, but they are not meant to be the only graph classes. As in BGL I believe that the main contribution of the RGL is the formulation of this interface.
The BGL graph interface and graph components are generic in the sense of the C++ Standard Template Library (STL). In Ruby other techniques are available to express the generic character of the algorithms and data structures mainly using mixins and iterators. The BGL documentation mentions three means to achieve genericity:
- Algorithm/Data-Structure Interoperability
- Extension through Function Objects and Visitors
- Element Type Parameterization
- Vertex and Edge Property Multi-Parameterization
The first is easily achieved in RGL using mixins, which of course is not as efficient than C++ templates (but much more readable :-). The second one is even more easily implemented using standard iterators with blocks or using the stream module. The third one is no issue since Ruby is dynamically typed: Each object can be a graph vertex. There is no need for a vertex (or even edge type). In the current version of RGL properties of vertices are simply attached using hashes. At first there seems to be not much need for the graph property machinery.
Algorithms
RGL current contains a core set of algorithm patterns:
- Breadth First Search RGL::BFSIterator
- Depth First Search RGL::DFSIterator
The algorithm patterns by themselves do not compute any meaningful quantities over graphs, they are merely building blocks for constructing graph algorithms. The graph algorithms in RGL currently include:
- Topological Sort RGL::TopsortIterator
- Connected Components RGL::Graph#each_connected_component
- Strongly Connected Components RGL::Graph#strongly_connected_components
- Transitive Closure RGL::Graph#transitive_closure
- Dijkstras Shortest Path Algorithm RGL::DijkstraAlgorithm
- Bellman Ford Algorithm RGL::BellmanFordAlgorithm
Data Structures
RGL currently provides two graph classes that implement a generalized adjacency list and an edge list adaptor.
The AdjacencyGraph class is the general purpose swiss army knife of graph classes. It is highly parameterized so that it can be optimized for different situations: the graph is directed or undirected, allow or disallow parallel edges, efficient access to just the out-edges, fast vertex insertion and removal at the cost of extra space overhead, etc.
Differences to BGL
The concepts of IncidenceGraph, AdjacencyGraph and VertexListGraph (see IncidenceGraph) are bundled in RGL's base graph module. Most methods of IncidenceGraph should be standard in the base module Graph. The complexity guarantees can not necessarily provided (see BGL's Graph Concepts).
Installation
% gem install rgl
or download the latest sources from the git repository.
If you are going to use the drawing functionalities install Graphviz.
Running tests
Checkout RGL git repository and go to the project directory. First, install RGL dependencies with bundler:
% bundle install
After that you can run the tests:
% rake test
Example irb session with RGL
% irb -Ilib
irb> require 'rgl/adjacency'
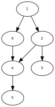
irb> dg=RGL::DirectedAdjacencyGraph[1,2 ,2,3 ,2,4, 4,5, 6,4, 1,6]
# Use DOT to visualize this graph:
irb> require 'rgl/dot'
irb> dg.write_to_graphic_file('jpg')
"graph.jpg"
The result:
You can control the graph layout by passing layout parameters to write_to_graphic_file
. See
TestDot::test_to_dot_digraph_with_options
for an example using a feature implemented by Lia
Skalkos (see PR #41).
irb> dg.directed?
true
irb> dg.vertices
[5, 6, 1, 2, 3, 4]
irb> dg.has_vertex? 4
true
Every object could be a vertex (there is no class Vertex), even the class object Object:
irb> dg.has_vertex? Object
false
irb> dg.edges.sort.to_s
"(1-2)(1-6)(2-3)(2-4)(4-5)(6-4)"
irb> dg.to_undirected.edges.sort.to_s
"(1=2)(1=6)(2=3)(2=4)(5=4)(6=4)"
Add inverse edge (4-2) to directed graph:
irb> dg.add_edge 4,2
(4-2) == (2-4) in the undirected graph:
irb> dg.to_undirected.edges.sort.to_s
"(1=2)(1=6)(2=3)(2=4)(5=4)(6=4)"
(4-2) != (2-4) in directed graphs:
irb> dg.edges.sort.to_s
"(1-2)(1-6)(2-3)(2-4)(4-2)(4-5)(6-4)"
irb> dg.remove_edge 4,2
true
Check whether a path exists between vertices 1 and 5
irb> require 'rgl/path'
irb> dg.path?(1, 5)
true
Topological sort is implemented as an iterator:
require 'rgl/topsort'
irb> dg.topsort_iterator.to_a
[1, 2, 3, 6, 4, 5]
A more elaborated example showing implicit graphs:
require 'rgl/implicit'
def module_graph
RGL::ImplicitGraph.new { |g|
g.vertex_iterator { |b|
ObjectSpace.each_object(Module, &b)
}
g.adjacent_iterator { |x, b|
x.ancestors.each { |y|
b.call(y) unless x == y || y == Kernel || y == Object
}
}
g.directed = true
}
end
This function creates a directed graph, with vertices being all loaded modules:
g = module_graph
We only want to see the ancestors of RGL::AdjacencyGraph:
require 'rgl/traversal'
tree = g.bfs_search_tree_from(RGL::AdjacencyGraph)
Now we want to visualize this component of g with DOT. We therefore create a subgraph of the original graph, using a filtered graph:
g = g.vertices_filtered_by {|v| tree.has_vertex? v}
g.write_to_graphic_file('jpg')
creates the following graph image with DOT:
This graph shows all loaded RGL modules:
Look for more in examples directory.
(Optional) Configuring Graphviz DOT output options
The default graph will use standard DOT output visuals.
If you wish to configure the styling of the diagram, module RGL::DOT adds the methods RGL::Graph#set_edge_options and RGL::Graph#set_vertex_options for this purpose. You can use any options from the RGL::DOT::NODE_OPTS and RGL::DOT::EDGE_OPTS constants in RGL::DOT. Use the exact option name as an argument in your method call.
You can also configure the overall appearance of the graph by passing a hash of options from RGL::DOT::GRAPH_OPTS to the output method. The example below shows styling of vertices, edges and setting some basic graph options.
The available options are described in the GraphViz DOT Spec
require 'rgl/adjacency'
require 'rgl/dot'
graph = RGL::DirectedAdjacencyGraph['a','b', 'c','d', 'a','c']
graph.('a', label: 'This is A', shape: 'box3d', fontcolor: 'green', fontsize: 16)
graph.('b', label: 'This is B', shape: 'tab', fontcolor: 'red', fontsize: 14)
graph.('c', shape: 'tab', fontcolor: 'blue')
graph.('a', 'b', label: 'NotCapitalEdge', style: 'dotted', dir: 'back', color: 'magenta')
graph.('a', 'c', weight: 5, color: 'blue')
= {
"rankdir" => "LR",
"labelloc" => "t",
"label" => "Graph\n (generated #{Time.now.utc})"
}
graph.write_to_graphic_file('png', 'graph', )
Credits
Many thanks to Robert Feldt which also worked on a graph library (https://rockit.sf.net/subprojects/graphr) who pointed me to BGL and many other graph resources.
Robert kindly allowed to integrate his work on graphr, which I did not yet succeed. Especially his work to output graphs for GraphViz is much more elaborated than the minimal support in dot.rb.
Jeremy Siek one of the authors of the nice book The Boost Graph Library kindly allowed to use the BGL documentation as a cheap reference for RGL. He and Robert also gave feedback and many ideas for RGL.
Dave Thomas for RDoc which generated what you read and matz for Ruby. Dave included in the latest version of RDoc (alpha9) the module RGL::DOT which is used instead of Roberts module to visualize graphs.
Jeremy Bopp, John Carter, Sascha Doerdelmann, Shawn Garbett, Andreas Schörk, Dan Čermák, Kirill Lashuk and Markus Napp for contributing additions, test cases and bugfixes. The complete list of contributers is here.
Links
- See CHANGELOG for major/breaking updates.
- To contribute, please read CONTRIBUTING first.
- Please open an issue if anything is missing or unclear in this documentation.
Copying
RGL is Copyright (c) 2002,2004,2005,2008,2013,2015,2019,2020,2022,2023 by Horst Duchene. It is free software, and may be redistributed under the LICENSE and terms specified in the LICENSE file.